⇐ Tilbage til oversigt

Neurologi

Biostriben for gymnasiet

Herunder finder du videoer, som er målrettet de gymnasiale uddanelser (STX, HTX, mm). Til alle videoerne er der knyttet spørgsmål som kan få eleverne til at tænke videre over emnerne.

Neurologi er læren om nerver og kommunikation i og mellem nerver. Du lærer om hvordan nerveceller er bygget op, og om hvordan kroppen kommunikerer. Emnet er beregnet til biologi eller bioteknologi på A-niveau og kræver en god viden om celler og kræver også at du kender til visse kemiske principper. Emnet er bygget op således, at videoerne som regel skal ses i den rækkefølge, de står i, i menuen til venstre.

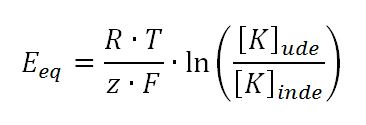
Ligevægtspotentiale og Nernsts Ligning

Opgaver til ligevægtspotentiale og Nernsts ligning

Opgave 1:
Hvilke to kræfter er med til at skabe membranpotentialet?

Opgave 2:
Hvilken funktion har en ionkanal?

Opgave 3:
Hvorfor er der en spændingsforskel over membranen?

Opgave 4:
Beregn ligevægtspotentialet ved brug af Nernsts ligning for Cl- som har en koncentration på 9 mM på indersiden af membranen og 125 mM på ydersiden af membranen.

Nernsts ligning:

Opgave 5:
Beskriv hvordan ionerne vil bevæge sig over membranen, hvis det kun er den firkantede ion, der kan transporteres af ionkanalen.

Opgave 6:
Hvorfor siger vi, at kaliumionen er i ligevægt, selvom der er en spændingsforskel på -90 mV?

Hvilemembranpotentiale og Na/K-pumpen

Opgaver til hvilemembranpotentiale og Na/K-pumpen

Opgave 1:
Hvilken indflydelse har det på det samlede membranpotentiale, hvis der pludseligt åbnes for mange natriumkanaler?

Opgave 2:
Hvilken ion er den primære årsag til, at hvilemembranpotentialet har en værdi på -70 mV og hvorfor?

Opgave 3:
Beregn hvilemembranpotentialet ved brug af Goldman ligningen, når de relative permeabiliteter ændres og nu fås ved:

K+: 0.60    Na+: 0.30    Cl-: 0.10

Goldmanligningen:

Opgave 4:
Er Na/K-pumpen et eksempel på aktiv eller passiv transport?

Opgave 5:
Er kaliumionerne i ligevægt ved hvilemembranpotentialet? Hvorfor/ Hvorfor ikke?

Opgave 6:
Hvad driver udsivningen af kaliumioner ved hvilemembranpotentialet?

Opgave 7:
Hvorfor ændres hvilemembranpotentialet ikke, selvom kaliumioner siver ud af cellen?

Aktionspotentiale

Opgaver til aktionspotentiale

Opgave 1:
Hvad betyder ’depolarisering’?

Opgave 2:
Hvilken ion kan være skyld i depolarisering af membranen?

Opgave 3:
Hvor meget skal membranen depolariseres, før et aktionspotentiale frembringes?

Opgave 4:
Hvad sker der med et potentiale, der ikke når tærskelværdien?

Opgave 5:
Hvad afhænger aktionspotentialets størrelse af?

Opgave 6:
Tegn en graf, der viser forløbet af et aktionspotentiale med membranpotentialet som funktion af tiden.

Opgave 7:
Hvorfor når aktionspotentialet ikke ligevægtspotentialet for natrium under den hurtige depolarisering?

Impulsledning

Opgaver til impulsledning

Opgave 1:
Beskriv mekanismen der får aktionspotentialet til at brede sig til nærliggende membranområder.

Opgave 2:
Hvilken ladning har de to sider af membranen ved hvilemembranpotentialet og under et aktionspotentiale?

Opgave 3:
Hvordan kan udbredelsen af aktionspotentialet være ensrettet?

Opgave 4:
Hvilke fordele/ulemper er der ved myeliniserede aksoner?

Opgaver til synapser

Opgave 1:
Hvordan fører et aktionspotentiale til at neurotransmittere frigives fra det præsynaptiske neuron?

Opgave 2:
Hvad er en neurotransmitter og hvilke typer findes der?

Opgave 3:
Beskriv hvordan neurotransmittere initierer en depolarisering i det postsynaptiske neurons membran.

Opgave 4:
Beskriv de forskellige muligheder for summation af EPSP’er.

Opgave 5:
Hvordan afgør det postsynaptiske neuron om, der kan affyres et aktionspotentiale?

Opgaver til neuroreceptorer

Opgave 1:
Hvordan kan binding af molekyle til receptor medføre depolarisering af membranen?
a) Når receptoren kan åbnes/lukkes
b) Når receptoren ikke kan åbnes/lukkes

Opgave 2:
Hvordan kan hjernen skelne mellem forskellige lugte?

Opgave 3:
Hvordan kan flere molekyler binde til den samme receptor?

Opgave 4:
Hvilken funktion har en agonist?

Opgave 5:
Hvilken funktion har en antagonist?

BioStriben er udarbejdet af Pernille Ott Frendorf, Emma Holsey Kristiansen, Alexandra L. Zahid og Anders Ellegaard.

null

Pernille læser til daglig til civilingeniør i Bioteknologi.

Læs mere om Pernille her.

Pernille Ott Frendorf

null

Emma læser til daglig til civilingeniør i Bioteknologi.

Læs mere om Emma her.

Emma Holsey Kristiansen

null

Alexandra læser til daglig til civilingeniør i Bioteknologi.

Læs mere om Alexandra her.

Alexandra L. Zahid

null

Anders læser til daglig til civilingeniør i Bioteknologi.

Læs mere om Anders her.

Anders Ellegaard

null

Cecilie Amalie Neijendam Thystrup

Cecilie læser til dagligt på DTU sin bachelor i Teknisk Biomedicin.

Du kan læse mere om Cecilie her.

Indhold

Kildehenvisning

Prøv kræfter med det virtuelle laboratorium

Hvad leder du efter?