Lignocellulose
Cellulose udgør 35-40 % af halmstrå (Mosier et al. 2005) og er en lineær polymer bestående af β-1,4’-glycosidforbundne D-glukose-monomerer. Cellulose er som stivelse et kulhydrat, nemlig et polysakkarid bestående af et meget stort antal af monosakkaridet glukose. I modsætning til stivelse er cellulose svært at nedbryde til glukose (se næste afsnit). Glukose er et vigtigt monosakkarid og bruges af næsten alle levende organismer fra mikroorganismer til mennesket som brændstof. Molekylet består af grundstofferne carbon, hydrogen og oxygen, og har den kemiske formel C6H12O6. Molekylet findes i tre mulige konfigurationer eller indstillinger, nemlig lineært åbnet samt som to ringformer (kaldet α- og β-D-glukose defineret efter hvordan 1-OH gruppen vender) mellem hvilke der eksisterer en dynamisk ligevægt kaldet mutarotation. Glukose er en hexose, idet molekylet har seks carbonatomer, og dannes, som tidligere omtalt, i fotosyntetiserende planter ved CO2-fiksering.

Figur 7. Halm
Disse lange kæder af monosakkarider holdes sammen parallelt af såkaldte protonbroer og van der Waals kræfter i en tæt ordnet struktur (krystallinsk cellulose); en mindre del er dog uordnet.
Hemicellulosen udgør 20-30 % af halmstrået og består af forgrenede og lineære hetero-polysakkarider af D-xylose, D-mannose, D-galaktose, D-glukose, L-arabinose, 4-O-methyl-glukuron-, D-galakturon- og D-glukuronsyre. Disse polysakkarider er meget kortere end i cellulose. D (dextrorotatory, højredrejet) og L (leverorotatory, venstredrejet) er betegnelser, som angiver stereokemisk konfiguration i et molekyle med såkaldte chirale centre. Hvis du kigger i en biokemi bog, vil du kunne læse mere præcist, hvad dette betyder. Det vigtigste monosakkarid i hemicellulose er pentosen (5 carbonatomer) xylose, som danner polymeren xylan. Desuden indgår typisk en væsentlig del arabinose, som også er en pentose.
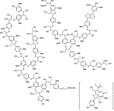
Lignin står for de sidste ca. 20-25 % af halmstrå og er en vand-uopløselig amorf blandings-polymer af phenylpropan enheder samt flere substituerede alkoholer. I modsætning til cellulose og hemicellulose består lignin altså ikke af kulhydrater. De forskellige molekylære enheder er knyttet sammen af bl.a. carbon-carbon- og aryl-ester-bindinger, og danner flere typer bindinger til polysakkariderne i hemicellulose (Colberg 1988). Nedenfor kan du se et eksempel på den kemiske opbygning af lignin. Denne komplekse rumlige sammensætning betyder, at lignin kun meget vanskeligt kan hydrolyseres og dermed nedbrydes. I plantecellevæggen fungerer lignin som uigennemtrængelig strukturel støtte og beskyttelse mod oxidation og mikrobielle angreb (Nielsen, Ahring & Angelidaki 1993, Pérez et al. 2002).
Som Figur 10 antyder, danner lignin og hemicellulose (hhv. grå og grøn i fjerde punkt af figuren) en tætforbundet struktur, som holdes sammen af xylan, ferulsyre og esterbindinger (Malherbe, Cloete 2002). Strukturen kan siges at indkapsle cellulose-polymeren, som danner fibre i cellevæggen. Det er denne stærkt ordnede og lukkede struktur, af den sværtnedbrydelige lignin omkring holocellulosen, der vanskeliggør nedbrydningen af lignocellulose.

Figur 8. Skematisk opbygning af et cellulosemolekyle. De enkelte glukosemonomerer er i β-D konfiguration. Den højre ende kaldes den reducerende ende (ved carbonatom nummer 1), mens den venstre ende kaldes den ikke-reducerende ende (ved carbonatom nummer 4). (Modificeret fra (Ingram 2006)).

Figur 9. Lignin

Figur 10. Sammensætning af en plantes cellevæg. Halmens strå består af fine stængler, hvis vægge igen består af stadig finere fibre, jo mere man forstørrer. Punkt fire illustrerer den meget tætpakkede strukturelle opbygning af lignocellulose med cellulose (gul), hemicellulose (grøn) og lignin (grå). På molekylært niveau (punkt 5) sidder de lange kæder af glukose, hvilke danner såkaldte mikrofibriller.