Præbiotika
Tarmfloraen (mikrobiotaen) er sammensat af mange forskellige slags bakterier (over 500 forskellige), og menneskets sundhed påvirkes af, hvordan sammensætningen af disse bakterier er. Baggrunden for at alle disse mange forskellige stammer kan trives fælles i tarmen er til dels, at de ikke alle “spiser” det samme. Det er ofte sådan, at en bestemt stamme kan bruge adskillige forskellige fødevarekomponenter som energikilde, men den foretrækker som regel ét bestemt stof, som den vokser ekstra godt på. Den vil derfor prøve at indfange dette stof, så det ikke er til stede for de andre bakterier. Den pågældende bakteriestamme vil derfor formere sig, så antallet af andre bakteriestammer mindskes med tiden.
Dette kan vi udnytte ved at spise den mad, de gavnlige bakterier kan lide. Herved sikres, at det er disse bakterier, der dominerer i vores mavetarmkanal. Disse interessante fødevarekomponenter kaldes præbiotika og karakteriseres ved, at de selektivt spises af en eller flere sundhedsfremmende bakteriestammer. Det kan være mere effektivt at indtage den mad, sundhedsfremmende bakterier spiser (præbiotika), end selve bakterien (probiotika), da bakterierne er svære at få ført levende til tarmen samt at få dem til at blive der.
Hvad er præbiotika?
Den første definition af præbiotika kom i 1995, men som et naturligt led i forskningen er den blevet ændret adskillige gange. I 2007 var den: ”Præbiotika er en selektivt fermenteret fødevarekomponent, som giver specifikke ændringer i sammensætningen og/eller i aktiviteten af mavetarmkanalens mikrobiota, og herved medfører gavnlig effekt på værtens sundhed”.
I praksis har det vist sig, at de fleste af de fødevarekomponenter, som udviser præbiotisk effekt, er komplekse kulhydrater, dvs. det man i daglig tale kalder fibre.
En fødevarekomponent skal opfylde forskellige krav for at kunne blive klassificeret som et præbiotikum. Disse krav ændres og tilpasses over årene for at sikre, at klassificeringen er så præcis som muligt. Dette er vigtigt for at kunne give garanti for sundhedsfremmende egenskaber i en fødevare, der er mærket med, at den indeholder præbiotika eller kostfibre.
For det første skal fødevarekomponenten kunne overleve værtens fordøjelse og absorption, sådan at stoffet rent faktisk er til stede der, hvor bakterierne er (i den nederste del af tyndtarmen og i tyktarmen). Fødevarekomponenten behøver dog ikke at være fuldstændig intakt.

Figur 32. I praksis har det vist sig, at de fleste præbiotika er det, der til dagligt kaldes kostfibre. For eksempel indeholder løg den fiber, der kaldes inulin (OBS! ikke insulin).
Derudover er vi kun interesserede i, at det er de sunde bakterier, der fremmes ved indtag af præbiotika. Fødevarekomponenten skal altså kun stimulere væksten og/eller aktiviteten af én eller flere af de sundhedsfremmende bakteriestammer.
Det er også vigtigt, at sundhedsfremmende effekter er dokumenterede. Præbiotika menes at have en effekt på mange lidelser, heriblandt mange af de vestlige livsstilssygdomme såsom diabetes, hjerte-/karsygdomme og forstyrrelser af mavetarmkanalen. Disse lidelser kan til dels skyldes en dårlig kost, bl.a. med for få fibre.
Hvad kendetegner et præbiotikum?
Fødevarekomponenter, der er undersøgt med henblik på præbiotisk effekt, kan inddeles i tre grupper. Første gruppe opfylder de ovennævnte krav og er med sikkerhed præbiotika. Den anden gruppe er fødevarekomponenter, som opfylder nogle af kravene, men ikke kan benævnes som præbiotika. Tredje gruppe består af stoffer, der har udvist præbiotisk potentiale, men hvor undersøgelserne er for sparsomme til, at de kan komme med i gruppe 2. Indtil videre er der identificeret adskillige fødevarekomponenter, som tilhører gruppe 1: inulin, fruktooligosakkarider(FOS), transgalaktooligosakkarider (TOS) og galaktooligosakkarider (GOS). Det er alle komplekse kulhydrater, dvs. kostfibre, og dem indtager man i ganske almindelig mad. For eksempel findes inulin og FOS bl.a. i løg, hvidløg og asparges. FOS findes også i større mængder i bananer, artiskok, hvede og tomater.

Figur 33. Der stilles krav før en fødevarekomponent kan klassificeres som præbiotisk. Fødevarekomponenten skal kunne overleve fordøjelse og absorption, skal selektivt stimulere bestemte sundhedsfremmende bakterier i mikrobiotaen, og skal have en dokumenteret effekt.
Byggestenene i fibrene fra gruppe 1 er monosakkariderne glukose, galaktose og fruktose. De findes også alle i de fordøjelige kulhydrater (glukose i stivelse, fruktose og glukose i frugtsukker, galaktose og glukose i laktose). For eksempel er inulin bygget op af mellem 10 til 60 fruktose-enheder og et enkelt glukosemolekyle. I gruppe 2 findes også fibre med monosakkaridet xylose som byggesten. I øvrigt findes der i gruppe 3 også enkelte stoffer, fx peptider, som ikke er kulhydrater. Her er beviset for præbiotisk effekt dog for mangelfuldt.
Årsagen til, at stofferne kan opfylde det første krav om ikke at fordøjes og absorberes, inden de når den nederste del af tyndtarmen og tyktarmen, er deres kemiske bindinger. For selvom byggestenene som nævnt ofte er de samme som i de fordøjelige kulhydrater, nedbrydes fibrene ikke.
I kulhydrater kan der være forskellige kemiske bindinger mellem monosakkariderne, som overordnet er inddelt i α- og β-glycosidbindinger. Mennesket kan kun nedbryde specifikke bindinger med de fordøjelsesenzymer, som vi har. Mennesket har enzymet α-amylase til at nedbryde α-(1,4) glycosidbindinger, som findes i stivelse. Derudover har mennesket også andre enzymer til at nedbryde bindingerne i sukrose (almindeligt sukker), i maltose (maltsukker, et nedbrydningsprodukt fra stivelse) og i laktose (mælkesukker). Er der andre slags bindinger mellem monosakkariderne, kan bindingerne ikke brydes, fordi mennesket ikke producerer enzymerne til det. Kulhydrater med andre bindinger vil dermed ende ufordøjet i tarmen, da det kun er monosakkarider, der kan absorberes gennem tarmvæggen.

Figur 34. Præbiotiske fødevarekomponenter findes naturligt i mange fødevarer, såsom dem vist ovenfor.

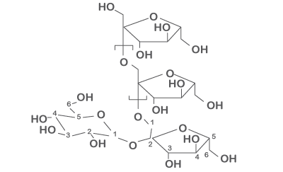
Figur 35. Inulin (ses på figuren) er opbygget af mellem 10 til 60 fruktoseenheder (de femkantede monosakkarider) og en glukoseenhed (den sekskantede enhed til venstre).
I den nedre del af tyndtarmen og i tyktarmen vil andre kemiske bindinger end ovennævnte kunne brydes af mavetarmkanalens mikrobiota. Det skyldes, at bakterier har andre nedbrydningsenzymer end mennesker. Forskellige bakteriestammer har forskellige fordøjelsesmekanismer, som bestemmer, hvilke stoffer, de kan leve på. Det er derfor de kemiske bindinger, der afgør, om kulhydratet kan nedbrydes af mikrobiotaen, af enkelte bakteriestammer eller slet ikke. Bindingerne i præbiotika er oftest β-glycosidbindinger, men α-glycosidbindinger forekommer også, såsom α-(1,2)- eller α-(1,6)-glycosidbindinger. For eksempel er bindingerne mellem fruktose-enhederne i inulin β-(1,2)-glycosidbindinger.
Der er også noget, der tyder på, at den molare masse har indflydelse på, om en fødevarekomponent er et præbiotikum. Alle stofferne i gruppe 1 og 2 er nemlig relativt små molekyler såsom disakkarider, oligosakkarider eller korte polysakkarider (inulin har mellem 10 og 60 fruktose-enheder med et gennemsnit på 25).

Figur 36. Mennesket har fordøjelsesenzymer, som kun kan fordøje kulhydrater med bestemte bindinger såsom stivelse med α-(1,4)- og α-(1,6)-glycosidbindinger. Disse bindingstyper er vist på figuren ovenfor.
Hvordan virker præbiotika?
Som det fremgår af definitionen på præbiotika, skal indtagelse af præbiotika medføre en sundhedsfremmende ændring af mikrobiotaen. Dvs. det er faktisk gennem de sundhedsfremmende bakterier i tarmen, at præbiotika virker. Definitionen påpeger ikke specifikke bakteriestammer, men det er ofte bifidobakterie- og lactobacillistammer (som er mælkesyrebakterier), de fremmer. Disse stammer er de samme sundhedsfremmende bakterier, der kan anvendes som probiotika. Den måde, de gavnlige bakterier fremmer sundheden på, er beskrevet i artiklen ”Probiotika”.
Bakterier i mikrobiotaen er som nævnt i stand til at benytte forskellige kulhydrater som energikilde, og det vil ofte være sådan, at hver bakteriestamme foretrækker kulhydraterne i en bestemt rækkefølge.

Figur 37. Præbiotika kan nå den nederste del af tarmen, fordi deres bindinger ikke kan brydes af de menneskelige enzymer. Præbiotika har typisk β-glycosidbindinger eller specielle α-glycosidbindinger. Et eksempel på denne slags bindinger kan ses på figuren. Disse bindinger kan til gengæld brydes af bestemte sundhedsfremmende bakterier og udnyttes som energikilde af disse.
Det medfører, at selvom to forskellige stammer kan benytte det samme kulhydrat, kan man stadig selektivt fremme den ene bakteriestamme med et bestemt præbiotikum, fordi denne ene stamme vokser bedre på det end den anden.
Mange af de sundhedsfremmende bakterier har derudover den overlevelsesfordel, at de kan vokse på mange forskellige kulhydrater og er specielt gode til at tage mad fra de andre bakterier. Det skyldes, at store dele af deres genom er dedikeret til netop denne opgave. Genomet koder for mange forskellige fordøjelses- og absorptionsmekanismer til benyttelse af en bred vifte af kulhydrater. For eksempel har man fundet, at flere bifidobakteriers genom (såsom Bifidobacterium longum og Bifidobacterium adolescentis) indeholder omkring 4,5 % kulhydrat-modificerende enzymer, hvorimod niveauet hos andre bakterier (Lactobacillus lactis, Clostridium perfringens og Escherichia coli) ligger på omkring 2,5 %. Ud fra dette kunne man gætte på, at bifidobakteriestammer kan benytte flere forskellige kulhydrater end andre bakterier. Sammenlignes fx de kulhydrater, som bifidobakteriestammer og lactobacillusstammer generelt kan vokse på, ses det, at bifidobakterier kan vokse på 11 forskellige oligo- og polysakkarider, hvorimod lactobacillus kan benytte 7 forskellige mono-, di- og trisakkarider.
Ud over at fremme menneskers (og dyrs) sundhed gennem en stimulering af gavnlige bakterier i mikrobiotaen, har det vist sig, at mange præbiotika faktisk også har andre sundhedsfremmende egenskaber. Disse egenskaber indgår ikke i definitionen af præbiotika. Nogle af disse funktioner udføres dog også af en sund mikrobiota, og det er derfor svært at afgøre, om det er præbiotika selv, der virker.
Af de sundhedsfremmende egenskaber kan nævnes nogle stykker: Tilstedeværelsen af galde i fæces er forbundet med højere risiko for tyktarmskræft. Fibre (også præbiotika) binder til galdesyrer og mindsker derved indholdet af fri galde, hvilket beskytter mod tyktarmskræft.
Fibre binder også mange andre stoffer såsom fedtstoffer, giftige stoffer (toksiner), kræftfremkaldende stoffer (carcinogener) og meget mere. Dette medfører mindsket optag af fedtstoffer og mindre kontakt med farlige stoffer.

Figur 38. En stor del af gavnlige bakteriers genom er dedikeret til kulhydratmetabolismen.
Indtag af præbiotika øger desuden produktionen af kortkædede fedtsyrer. Som beskrevet i artiklen ”Probiotika” har kortkædede fedtsyrer mange gavnlige effekter. Bl.a. kan kortkædede fedtsyrer øge epitelcellernes delingshastighed, så de udstødes hurtigere, hvilket giver bedre beskyttelse af kroppen. Kortkædede fedtsyrer kan også forsyne mange af kroppens celler med energi, mindske produktionen af ny kolesterol i leveren og meget mere.
Derudover menes det, at præbiotika evt. kan reducere mængden af patogener uden at involvere mikrobiotaen. Som beskrevet i artiklen ”Probiotika” har mange patogene bakterier receptorer på overfladen, som skal hjælpe binding til tarmepitelet, hvilket ofte er det første trin i sygdomsudvikling. Der kan fremstilles præbiotika, der binder til disse receptorer og dermed forhindrer patogene bakteriers binding til epitelcellerne.
På nuværende tidspunkt er der dog ingen præbiotika, hvor det er bevist med tilstrækkelig sandsynlidhed, at de har disse egenskaber. Derfor har præbiotika officielt set kun en effekt på sundheden gennem sin virkning på mikrobiotaen.
Brug af præbiotika
Man kan generelt påstå, at indtagelse af præbiotika er sundhedsfremmende. Problemet er dog, at det er svært at generalisere, når det gælder fødevarer, fordi folk reagerer meget forskelligt på kost. Ved medicin reagerer de fleste mennesker nogenlunde ens, men kosten skaber ikke altid den samme reaktion hos alle, fordi vi er så forskellige, og fordi vores mikrobiota varierer så meget fra person til person. Folk, som allerede har en sund mikrobiota, vil ikke få lige så meget gavn af en fiberholdig kost som mennesker med en ubalanceret mikrobiota. Nogle personer vil have enormt meget gavn af at spise fibre, mens andre slet ikke vil få noget ud af det, og disse kan endda risikere at få ondt i maven, opstød, udspilet mave, luft i maven (flatulens) og eventuelt diarré. Derfor vil man ikke kunne bruge præbiotika som decideret behandling mod specifikke sygdomme.
Det er i øvrigt et generelt princip for mange fødevarekomponenter, fx vitaminer, at hvis man allerede har store mængder af den pågældende fødevarekomponent, vil man ikke kunne optage mere, selv hvis man spiser rigtig meget af komponenten.
Det har også betydning, hvordan man sammensætter de forskellige præbiotika. Nogle sammensætninger af præbiotika kan give meget større vækst af en eller flere sundhedsfremmende bakteriestammer, end det ville gøre at indtage ét præbiotikum alene.

Figur 39. Præbiotika har også egenskaber, som ikke involverer mikrobiotaen. Bl.a. binder fibre til mange forskellige stoffer, der kan være skadelige for kroppen. Disse stoffer, fx galde, fedtstoffer, giftige eller kræftfremkaldende stoffer udskilles herved med fæces. Præbiotika kan desuden binde til receptorer på overfladen af patogener. Præbiotika øger også dannelsen af kortkædede fedtsyrer, som har mange sundhedsfremmende effekter i kroppen, som fx epitelcelledeling (bedre beskyttelse), energiforsyning, mindsket kolesterolproduktion.
Man mener, at præbiotika også har potentiale til at kunne anvendes med fordel på forskellige stadier i livet, hvor man ved, at mikrobiotaen ændres markant. Således prøver man at styre denne ændring mod en sundere mikrobiota.
Ved overgangsalderen (dvs. 55-60-års alderen) sker der store ændringer i mikrobiotaen – ofte med et fald af bifidobakterier samt en øgning af andre arter, herunder patogener. Samtidigt observeres der en op til 400 gange højere dødelighed ved mavetarminfektioner hos ældre personer i forhold til yngre, hvilket kan skyldes denne ændring. Det er vist, at nogle præbiotika såsom inulin og FOS kan regulere ældre menneskers mikrobiota og reducere forekomsten af sygdomme.
Præbiotika til specifikke ændringer i mikrobiotaen kan muligvis også hjælpe på andre perioder i livet. For eksempel har nyfødte, der får modermælkserstatning, en meget anderledes mikrobiota end nyfødte, der får modermælk. De nyfødte, som får modermælk, har en mikrobiota, der er domineret af bifidobakterier og lactobacilli, hvorimod børn, der får modermælkserstatning, har en mikrobiota, der ligner en voksens.
Mikrobiotaen hos nyfødte er især vigtig, fordi deres immunsystem udvikles i denne periode. Med en dårlig mikrobiota kan immunsystemet underudvikles, hvilket kan skabe følgesygdomme senere i livet såsom allergi og andre autoimmune sygdomme.

Figur 40. Problemet ved præbiotika er, at det ikke virker ens på alle. Folk med sund mikrobiota får ikke ligeså meget ud af det som folk med ubalanceret mikrobiota. Begyndelsesantallet af sunde bakterier og sammensætningen af præbiotika har betydning for virkningen.
Desuden har nyfødte, som får modermælk, færre infektioner end nyfødte med mælkeerstatning, hvilket kan hænge sammen med forskellene i mikrobiotaen. Ved at tilsætte præbiotika til modermælkserstatning, vil man måske kunne hjælpe de børn, der ikke dier.
Synbiotika
Siden et bestemt præbiotikum kun kan virke, hvis den/de specifikke bakterier, som benytter det, er til stede i tarmen, kunne man forestille sig, at det ville være fordelagtigt at indtage præ- og probiotika sammen. Sådan en kombination findes. Den kaldes synbiotika. Det defineres som ”en blanding af probiotika og præbiotika, der er gavnlig for værten ved at forbedre overlevelsen og implantationen af levende mikrobielt kosttilskud i mavetarmkanalen ved selektiv stimulering af væksten og/eller ved aktivering af metabolismen af en eller flere sundhedsfremmende bakterier og derigennem forbedre værtens sundhed”.
For at skabe et godt synbiotikum kunne man prøve at fremstille præbiotika specifikt til et bestemt probiotikum. Man skal altså sikre, at de kemiske bindinger mellem monosakkariderne i fiberen kan brydes af den bestemte probiotiske stamme, og at stammen har absorptionsmekanismerne til at indtage monosakkariderne.

Figur 41. Indtag af præbiotika menes at være ekstra gavnligt på bestemte stadier i livet. For eksempel ændres mikrobiotaen drastisk ved 55-60 års alderen, og ved indtag af præbiotika kan mikrobiotaen ændres på en sund måde.
Men spørgsmålet er så: virker synbiotika bedre end probiotika eller præbiotika alene? Det har vist sig, at der ved indtag af pro-, præ- eller synbiotika opstår vidt forskellige responser, og at effekten af synbiotika ikke er bedre i forhold til indtag af probiotika eller præbiotika alene. Det kan evt. forklares ved, at nedbrydningen af præbiotika foregår forskellige steder i tarmen. Mens præbiotika for det meste nedbrydes i tyktarmen og dermed har gavnende effekter der, så menes det, at synbiotika sandsynligvis allerede nedbrydes i den nedre del af tyndtarmen og derfor har helt andre effekter. Det er altså ikke nødvendigvis bedre at indtage både præbiotika og probiotika sammen end at spise dem hver for sig.
Der forskes også i, om præbiotika i synbiotika kan fungere som en slags kapsel. Et problem ved probiotika er nemlig, at det er svært at bringe bakterierne levende til tyktarmen. Det kan derfor være en mulighed at pakke probiotika ind i en kapsel af præbiotika og derved beskytte probiotika igennem den øvre del af mavetarmkanalen fx mod mavesyren. Mikrobiotaen nedbryder kapslen, og herved frigives probiotikaet fx i tyktarmen, hvor dets effekt kan udøves. På den måde vil det være muligt at få probiotika til den fjerne ende af tyktarmen, hvor mange sygdomme opstår.

Figur 42. Mikrobiotaen etableres ved fødslen, og det er derfor et godt tidspunkt at prøve at fremme de sundhedsfremmende bakterier. Dette kan bl.a. gøres ved at spædbørn indtager præbiotika i modermælkserstatning eller at mødrene indtager præbiotika.

Figur 43. Man kan også indtage kosttilskud med en blanding af probiotika og præbiotika. Blandingen kaldes synbiotika.
