Ostens smag og duft
Stofklassifikationer
I dette afsnit beskrives de stoffer, der giver duft og smag til osten. Først omtales de stoftyper, der benyttes ved fremstillingen. Dernæst forklares, hvad proteiner og enzymer er.
Fedtsyrer:
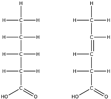
Fedtsyrer er naturlige bestanddele af mælk. Fedtsyrernes molekyler er bygget op af lange carbonkæder, med en carboxylgruppe (-COOH) i den ene ende, se figur 1.
En carbonkæde består af en masse carbonatomer bundet til hinanden samt til hydrogenatomer, ved kovalente eller elektronpar-bindinger. Hvis carbonatomerne i en fedtsyre udelukkende sidder sammen ved enkeltbindinger, kaldes fedtsyren for en mættet fedtsyre. Hvis der er netop én dobbeltbinding mellem to carbonatomer i kæden kaldes fedtsyren for mono-umættet, og er der flere dobbeltbindinger kaldes den fler-umættet.

Figur 1. Fedtsyrer. Til venstre ses en mættet fedtsyre, til højre en enkeltumættet
I mælk er fedtsyrerne bundet i triglycerider. Triglycerider er kemiske forbindelser, hvor tre fedtsyrer er bundet til ét glycerolmolekyle, gennem esterbindinger, som det ses på figur 2.
Navngivningen af fedtsyrer følger gældende IUPAC-regler. Dermed gives carbonatomet i carboxylgruppen –COOH nummer 1. Det tilstødende carbonatom bliver således nummer 2, og så fremdeles. Navnet på fedtsyren angives da på denne måde:
Præfikset gives efter antallet af carbonatomer i fedtsyren.
| Antal C’er | 1 | 2 | 3 | 4 |
| Præfiks | Meth | Eth | Prop | But |
| Antal C’er |
5 | 6 | 7 | 8 |
| Præfiks |
Pent | Hex | Hept | Oct |
| Antal C’er |
9 | 10 | 11 | 12 |
| Præfiks | Non | Dec | Undec | Dodec |
| Antal C’er |
13 | 14 | 15 | 20 |
| Præfiks | Tridec | Tetradec | Pentadec | Eicos |
De fedtsyrer vi arbejder med her, er udelukkende mættede. Der er derfor ingen dobbeltbindinger i dem. Når der kun er enkeltbindinger i et stof, begynder suffikset med –an. Suffikset er –syre, og således hedder en mættet fedtsyre med fire carbonatomer, but-an-syre, butanosyre. Fedtsyrer forekommer som regel med mellem 4 og 24 carbonatomer.
Ketoner:
Ketoner er – ligesom aldehyder – stoffer der indeholder et O dobbeltbundet til et C – en carbonylgruppe. Mens carbonatomet i C=O bindingen i aldehyder også er bundet til et hydrogenatom og en organisk radikalgruppe (R-gruppe), er carbonatomet i ketoner ”kun” bundet til to R-grupper, som det ses på figur 3.

Figur 2. Triglycerid.
Ketoner kan bl.a. dannes ved oxidation af en sekundær alkohol. Reaktionen er:
![]()
Ketoner kan ligeledes dannes fra frie fedtsyrer – en reaktionsvej der gennemgås nedenfor. Carbonylgruppen C=O i ketoner er polær, og ketoner er derfor polære stoffer. De kan danne hydrogenbindinger med f.eks. vand, og er derfor opløselige i vand. Ketonerne er dog ikke i stand til at hydrogenbinde med dem selv, hvorfor ketoner er ret flygtige stoffer.
Når en keton skal navngives, nummereres carbonatomerne fra den ende som C=O bindingen er tættest på. I eksemplet på figur 3, vil carbonatomet i C=O bindingen derfor have nummer 2:
Ved navngivningen af dette stof, vil man inden præfixet placere nummeret på carbonatomet i C=O bindingen, dvs. ovenstående ketons navn vil starte med 2-. Præfixet gives på samme måde som ved fedtsyrerne, og da ovenstående keton har 7 carbonatomer vil dette være hep-. Suffikset for ketonenavne er altid –on, og her gælder ligeledes reglen, at suffikset begynder med –an, såfremt der kun er enkeltbindinger. Således vil en keton med syv carbonatomer uden dobbeltbindinger og med C=O bindingen på carbon nummer 2 hedde 2-heptanon.
Proteiner er molekyler, der er opbygget af aminosyrer, der er mindre molekyler. Der findes tyve forskellige aminosyrer. Den generelle opbygning af dem er som ses på figur 4.

Figur 4. Opbygningen af en aminosyre.
Peptidbindinger er kovalente bindinger, der dannes mellem en aminosyres aminogruppe, –NH2 , og en anden aminosyres carboxylgruppe, –COOH. Under bindingen fraspaltes vand.
Bindingen kan ses på figur 5. Kæder af aminosyrer er da hvad man kalder et protein.

Figur 3. Keton. Bemærk det dobbeltbundne O.
Enzymer er proteiner der ”hjælper” (katalyserer) kemiske processer. Enzymer fremskynder en ellers naturlig reaktion mellem substrater. Enzymerne frigives igen, når reaktionen er bragt til ende. Enzymer kan også nedbryde kemiske bindinger. De enzymer, der tales om ved dannelsen af smags- og duftstoffer i osteproduktionen i dette materiale, er:
Lipase, der nedbryder glycerider, f.eks. triglycerider som findes i mælken, ved at nedbryde esterbindingerne gennem en proces kaldt hydrolyse, se figur 6. Lipaser dannes af den benyttede svampekultur.
Protease, der nedbryder proteiner ved at bryde peptidbindingerne mellem aminosyrerne, ved hydrolyse, som det ses på figur 6. Proteaser dannes af den benyttede svampekultur.
Til osteproduktionen tilsættes osteløbe som beskrevet i fanen ”Osteproduktion hos Arla”. Osteløbe er en blanding af enzymer, hvoraf det vigtigste er rennilase, der ikke beskrives detaljeret her.
I en blåskimmelost er det bl.a. ketoner og frie fedtsyrer, der bidrager til den karakteristiske ostesmag. Frie fedtsyrer dannes ved nedbrydning af triglycerider, der er naturligt til stede i mælken.

Figur 5. Dannelsen af en peptidbinding.
Disse fedtsyrer giver osten en del af den kendte smag, men en del af fedtsyrerne viderebehandles, således at der dannes yderligere smagsgivende ketoner. Først betragtes den generelle kemiske proces, der foregår, når et triglycerid bliver nedbrudt.
Fra triglycerid til frie fedtsyrer
Et triglycerid består som nævnt af et glycerolmolekyle, hvorpå der er bundet tre fedtsyrer ved esterbindinger. Disse fedtsyrer kan både være ens og forskellige. Når triglyceridet nedbrydes, dannes frie fedtsyrer og glycerol. Nedbrydningen af hver enkelt esterbinding, sker ved hjælp af enzymet lipase, der dannes af svampekulturen. Svampene danner disse enzymer og sender dem ud – de udskilles – i mediet, hvor lipasen fungerer aktivt i nedbrydningen af esterbindingen. For hver enkelt esterbinding kræves et vandmolekyle, H2O. Når esterbindingen brydes, overføres et H fra H2O til glycerolmolekylet, således at dets -OH gruppes gendannes Det resterende –OH fra H2O overføres til fedtsyren, således at –COOH gruppen gendannes. Mekanismen kan følges på figur 7, og processen kaldes hydrolyse. Det er disse overførsler af atomer, som
Til osteproduktionen tilsættes som beskrevet i fanen ”Osteproduktion hos Arla” osteløbe, der er en blanding af enzymer, hvoraf det vigtigste er rennilase. Da vi ikke kan beskrive alle enzymer her, er dette ikke noget vi vil gå videre i detaljer omkring.
I en blåskimmelost, er det bl.a. ketoner og frie fedtsyrer der bidrager til den karakteristiske ostesmag. Frie fedtsyrer dannes ved nedbrydning af triglycerider, der er naturligt til stede i mælken. Disse fedtsyrer giver nu allerede osten en del af den kendte smag, men en del af fedtsyrerne viderebehandles, således at der dannes de smagsgivende ketoner. Først vil vi se på den generelle kemiske proces der foregår, når et triglycerid bliver nedbrudt.
Fra triglycerid til frie fedtsyrer
Et triglycerid består som sagt af et glycerolmolekyle, hvorpå der er bundet tre fedtsyrer ved esterbindinger. Disse fedtsyrer kan både være ens og forskellige. Når triglyceridet nedbrydes, dannes frie fedtsyrer og glycerol. Nedbrydningen af hver enkelt esterbinding, sker ved hjælp af enzymet lipase, der dannes af svampekulturen. Svampene danner disse enzymer og sender dem ud i mediet – de udskilles – hvor lipasen fungerer aktivt i nedbrydningen af esterbindingen. For hver enkelt esterbinding, kræves et vandmolekyle H2O. Når esterbindingen brydes, gøres dette nemlig ved at overføre et H fra H2O til glycerolmolekylet, således at dets -OH gruppes gendannes, samt at overføre det resterende –OH fra H2O til fedtsyren, således at –COOH gruppen gendannes. Mekanismen kan følges på figur 7, og processen kaldes hydrolyse. Disse overførsler af atomer, er dem lipasen hjælper til med.
Det er ikke nødvendigvis alle fedtsyrerne der fraspaltes på en gang. Hvis det kun er den ene fedtsyre, ender man med en fri fedtsyre og et diglycerid. Fraspaltes to fedtsyrer, har man frie fedtsyrer og et monoglycerid. Fraspaltes alle tre, dannes frie fedtsyrer og glycerol.
Efter denne omtale af fedtsyredannelsen, følger nu fedtsyrernes videre reaktionsvej til dannelsen af ketoner.
Fra fedtsyre til keton
Når fedtsyrerer optages af svampecellerne, gennemgår de en nedbrydningsproces. Første del af denne proces kaldes β-oxidation. Denne oxidation består af fem trin, som gennemgås nedenfor. De fleste af reaktionerne foregår med hjælp fra enzymer, men de præcise enzymmekanismer beskrives ikke her.

Figur 7. Hydrolyse af triglycerid.
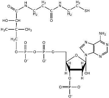
1. Fedtsyren bindes kovalent til molekylet Coenzym A (CoA) på en carboxylgruppe. Coenzym A skrives sædvanligvisHSCoA. Enzymet er vist på figur 8.
Når CoA bindes til carboxylgruppen –COOH, fraspaltes H’et på CoA og –OH gruppen på –COOH. Således fraspaltes totalt et vandmolekyle. Det dannede molekyle med fedtsyre og CoA, kaldes acyl-CoA.
- Ved hjælp af enzymet acyl-CoA dehydrogenase, fjernes nu to hydrogenatomer fra molekylet. Et hydrogenatom fra carbon nr. 2, og et fra carbon nr. 3 i fedtsyrekæden. Således dannes en dobbeltbindingen mellem carbon nr. 2 og 3.
- Enoyl-CoA hydratase enzymet hjælper nu til, at et H2O molekyle føjes til fedtsyren. Dette H2O molekyle benyttes til at reducere dobbeltbindingen mellem carbon nr. 2 og 3 til en enkeltbinding. Det sker ved at tilføje et H til carbon nr. 2, og en –OH gruppe til carbon nr. 3.

Figur 8. Coenzym A
- Nu fjernes begge H’er, der er tilknyttet carbon nr. 3, således at der her kun er O’et tilbage. Der er nu en dobbeltbinding mellem carbon nr. 3 og O’et. Denne fjernelse foregår ved hjælp af enzymet β-hydroxyacyl-CoA dehydrogenase. Stoffet, der er dannet nu, er en β-ketoacyl-CoA, og det er dette stof, der arbejdes videre fra i dannelsen af ketoner.
- Acyl-CoA acyltransferase (thiolase), sørger for, at bindingen mellem carbon nr. 2 og 3 brydes. Derved fraspaltes stoffet acetyl-CoA. Samtidig påsættes et nyt CoA-molekyle på carbon nr. 3. Fedtsyren er nu reduceret med to carbonatomer og er klar til at gennemgå en β-oxidation igen.
Denne reaktionsvej, der fører til dannelse af ketonerne, skyldes især β-oxidationen, nemlig β-Ketoacyl-CoA stoffer, se punkt 4. β-Ketoacyl-CoA er betegnelsen for alle de fedtsyrer, der er nået til dette punkt i β-oxidationen. Således er acyl blot en fællesbetegnelse. Afhængigt af længden af fedtsyren, sættes det tilsvarende navn ind i stedet for acyl. Således gælder det, at hvis fedtsyren β-Ketoacyl-CoA’en havde ottecarbonatomer, så hedder den β-Keto-octanoyl-CoA.
På vejen fra β-Ketoacyl-CoA til keton er der to trin.
-
Bindingen mellem S-CoA og carbon nr. 1 i β-Ketoacyl-CoA brydes, ved hjælp af tilsætning af H2O. Det ene H atom overføres til -S-CoA, således at der dannes coenzym A igen (HSCoA). OH gruppen overføres til carbon nr. 1 på fedtsyren, således at der dannes en carboxylgruppe. Ved denne proces er enzymet thiohydrolase. Produktet af denne reaktion er en β-keto acid, der er en carboxylsyre, hvorpå der er en keton-gruppe (C=O) på carbon nr. 3.
-
Den dannede β-keto acid kommer nu i kontakt med et enzymet decarboxylase, som fjerner CO2 fra COOH gruppen på β-keto syren. Således dannes en keton, som det ses på figur 9.

Figur 9. Ketondannelse.
Hele cyklussen fra triglycerid til keton kan ses på figur 10, samt på nedenstående animation.
Herunder kan I da se hvordan fedtsyren reduceres med to carbonatomer ved dannelsen af acetyl-CoA, for hver omgang af ovenstående reaktioner.


Figur 10. Betaoxidation af palmitoyl CoA
Da fedtsyren mister et carbonatom undervejs mod dannelsen af ketonen, vil den keton, der dannes ud fra octanoic acid være heptanone og så fremdeles.
Disse beskrevne generelle processer er gældende for både blåskimmeloste, hvor P. roqueforti benyttes, samt ved hvidskimmelosten camembert, hvor P. camemberti bruges. Der er forskelle på de to oste. Derfor er der også forskelle både på de ketoner og fedtsyrer, der indgår i processerne, og på de mere specifikke dele af produktionsprocessen.
Desuden er der en række fysiske forhold som lagringstid, temperatur m.m. der gør sig gældende i vejen mod forskellige oste. Det blev beskrevet i fanen “Osteproduktion hos Arla – fra mælk til skimmelost”.
Penicillium roqueforti
Ved produktion af blåskimmeloste, benyttes som nævnt P. roqueforti til at frembringe den karakteristiske smag, duft og farve. I og med at P. roqueforti vokser inde i selve osten, modner denne indefra. I blåskimmeloste produceret med P. roqueforti, har det vist sig at være følgende methy ketoner der er flest af, og således dem der giver osten denskarakteristiske smag:
· 2-heptanon
· 2-nonanon
· 2-pentanon
· 2-undecanon
Grunden til at disse ketoner har et to-tal foran deres navn, er at ketongruppen er placeret på carbon nr. 2. Bemærk at alle ketonerne har et ulige antal carbonatomer fordi de fedtsyrer, som de er dannet ud fra, alle mister carbondioxid fra en fedtsyre med et lige antal carbonatomer.
Penicillium camemberti
Ved produktion af hvidskimmelosten camembert, benyttes som nævnt P. camemberti til at frembringe den karakteristiske smag, duft og farve. Svampen vokser her på overfladen af osten, dom derfor modner udefra. I camembert har følgende methylketoner vist sig at være dominerende:
· 2-nonanon
· 2-undecanon
Ud over fedtsyrer og methylketoner, har frie aminosyrer også indvirkning på, hvordan osten smager og føles. Frie aminosyrer kommer fra nedbrydningen af proteiner . Denne nedbrydning kaldes proteolyse, og varetages af de før beskrevne proteaser, samt af enzymer fra mælkesyrebakterier. Aminosyrerne er med til at sikre baggrundssmagen i osten, og endvidere forhindrer proteolysen, at osten bliver tør og smuldrende. Det protein, der er mest af i mælk, er kasein. Ca. 80 % af det samlede proteinindhold er kasein. Det er derfor primært kasein, der bliver nedbrudt, når de frie aminosyrer dannes.