Arabinoxylan og xylanaser

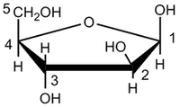
Hvedemel indeholder andre polysakkarider end amylose og amylopektin. Disse polysakkarider kaldes ikke-stivelses polysakkarider. Da xylanaser sammen med amylaser er de mest anvendte enzymer i forbindelse med brødproduktion, er det vigtigste ikke-stivelses polysakkarid i denne forbindelse xylanasernes substrat arabinoxylan. Arabinoxylan er først og fremmest opbygget af monosakkaridet xylose (Fig. 29).

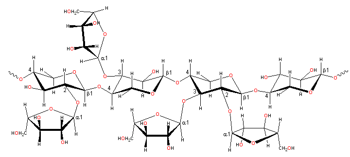
Xylosemolekylerne sidder sammen vha. β-(1,4)-glykosidbindinger, og danner polymeren xylan. Til nogle af xylosemolekylerne er der bundet monosakkaridet arabinose (Fig. 30).

Arabinose kan være bundet til C2 og/eller C3 på xylosemolekylerne via hhv. α-(1,2)- og α-(1,3)-glykosidbindinger. Arabinosemolekylerne kan via esterbindinger være bundet til fenolsyrer – især til ferulinsyre. Se Figur 31.

Arabinoxylaner deles normalt op i to grupper, alt efter om det kan opløses i vand eller ej. Der findes opløseligt arabinoxylan og uopløseligt arabinoxylan. Det er endnu ikke helt klarlagt, hvad forskellen i opløselighed skyldes, men fordelingen af arabinosemolekyler langs xylankæden har antagelig en stor betydning.

Figur 29. Xylose er en af byggestenene i arabinoxylan. Xylose indeholder kun 5 carbon-atomer og betegnes derfor en pentose. 

 

Figur 30. Strukturen af arabinose. Arabinose findes som forgreninger i polysakkariden arabinoxylan

 

Figur 31. Struktur af arabinoxylan. Den lange kæde består af xylosemolekyler, hvortil der er bundet arabinosemolekyler.

Figuren er fra Water structure and science, distribueret under Creative Commons License.

 

Xylanaser og deres effekt

Vigtigst for nedbrydning af arabinoxylan er de xylanaser, der katalyserer spaltningen af β-(1,4)-glykosidbindinger mellem to xylosemolekyler inde i arabinoxylanmolekylet (Fig. 34). Derved frigives der mindre kæder af arabinoxylan af varierende længde. Disse enzymer kaldes endo-β-(1,4)-xylanaser. De mange arabinosemolekyler i arabinoxylan bevirker, at endo-β-(1,4)-xylanaserne ikke altid kan bindes til arabinoxylan pga. sterisk hindring. Det er derfor ikke alle glykosidbindinger, der kan hydrolyseres.

Figur 32. Arabinoxylans indflydelse på glutennetværket og stabilisering af gaslommerne.
A: Gaslommerne i brødet stabiliseres af opløseligt arabinoxylan. B: Uopløseligt arabinoxylan er en fysisk barriere, der hindrer dannelsen af glutennetværket.

 

Figur 33. Vandbindende egenskaber af melets bestanddele.

 

Xylanaser bruges i stort omfang i forbindelse med brødproduktion for at øge stabiliteten af dejen, brødvolumenet og friskheden samt for at forbedre krummestrukturen.  De foretrukne xylanaser er dem, der nedbryder det uopløselige arabinoxylan. Hos forskellige xylanaser ses en bemærkelsesværdig forskel i specificitet, når man sammenligner aktiviteten over for opløseligt arabinoxylan med aktiviteten overfor uopløseligt arabinoxylan. Det er dog svært at sige hvorfor, da man endnu ikke helt forstår den strukturelle forskel imellem opløseligt og uopløseligt arabinoxylan. Nedbrydning af det uopløselige arabinoxylan er fordelagtigt ved brødproduktion, da det som nævnt kan hindre dannelsen af glutennetværket.
Når det uopløselige arabinoxylan nedbrydes, mindskes dets vandbindende egenskaber. Vandet, der frigives, vil kunne bruges til at hydrere gliadin og glutenin og dermed fremme dannelsen af glutennetværket. Senere i bageprocessen kan vandet være med at hydrere stivelsen og dermed blødgøre brødet. Når det uopløselige arabinoxylan nedbrydes og bliver opløseligt, stiger mængden af opløseligt arabinoxylan naturligvis. Dermed forstærkes den positive effekt af uopløseligt arabinoxylan.

Andre enzymer

Peroxidaser (oxidoreduktaser) kan ud over at styrke glutennetværket ved at fremme dannelsen af svovlbroer, også katalysere krydsbinding af arabinoxylan. Det sker ved dannelse af ferulinsyredimerer (bindinger mellem to ferulinsyremolekyler) (Fig. 35). Dannelsen af ferulinsyredimerer bidrager til at styrke dejen – muligvis pga. interaktioner med glutennetværket.

Figur 34. Hydrolyse af arabinoxylan.

 

Figur 35. Krydsbinding af arabinoxylan via dannelse af en ferulinsyredimer.

 

Indhold

Kildehenvisning

Prøv kræfter med det virtuelle laboratorium

Hvad leder du efter?