Stivelse og amylaser
Stivelse udgør størstedelen af de fordøjelige kulhydrater i hvedemel. Navnet stivelse dækker over to typer kulhydrater – henholdsvis amylose og amylopektin, der har det tilfælles, at de begge er polysakkarider og opbygget af monosakkaridet glukose.
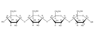
I amylose er glukosemolekylerne udelukkende sat sammen ved hjælp af α-(1,4)-glykosidbindinger. Det betyder, at amylose er uforgrenet – en lang kæde af glukosemolekyler (Fig. 17).

Figur 17. Amylose består af glukose-enheder forbundet med α-(1,4)-glykosidbindinger. Amylose er en af de to typer stivelse, der findes i hvedemel.
Amylopektin indeholder både α-(1,4)- og α-(1,6)-glykosidbindinger. Derfor er amylopektin i modsætning til amylose et forgrenet molekyle (Fig. 18). I amylopektin fra hvede er afstanden mellem α-(1,6)-forgreningerne mellem 12 og 25 glukosemolekyler.
Stivelseskorn
I naturen optræder stivelse i form af nogle små sfæriske partikler – såkaldte stivelseskorn, hvis størrelse og form afhænger af plantearten. I disse stivelseskorn er amylose og amylopektin organiseret i forskellige lag kaldt lameller (Fig. 19). Nogle af disse lag er mere ordnede end andre pga. korte kæder fra amylopektin, der går sammen to og to og danner en dobbelthelix. Amylose og uordnede kæder fra amylopektin findes i de andre lag.

Figur 18. Amylopektin består af glukose-enheder, forbundet med α-(1,4)- og α-(1,6)-glykosidbindinger. α-(1,6)-bindingerne forårsager forgreninger.
Stivelse fra hvede indeholder både store og små stivelseskorn, der har en forholdsvis rund struktur (Fig. 19). De store stivelseskorn har en diameter, der ligger på mellem 22 μm og 35 μm, hvorimod diameteren af de små stivelseskorn er mellem 2 μm og 3 μm. I hvedemel vil der både være intakte og ødelagte stivelseskorn.
Gelatinisering og retrogradering
Stivelseskorn er uopløselige i vand under stuetemperatur men suger vand til sig, efterhånden som temperaturen stiger. På et tidspunkt nås en kritisk temperatur (omkring 60 °C), hvor de bindinger mellem stivelsesmolekylerne, der holder kornene sammen, bliver svagere, og stivelseskornene begynder at svulme op. Når dette sker, stiger viskositeten af opløsningen, dvs. den bliver mere tyktflydende. Dette fænomen kaldes gelatinisering eller forklistring. Bliver man ved med at øge temperaturen, vil stivelseskornene til sidst gå i stykker, og viskositeten vil falde igen.
Retrogradering er næsten det omvendte af gelatinisering. Stivelseskornene bliver ikke gendannet, men der sker en reorganisering af stivelsesmolekylerne, der igen indordner sig i forhold til hinanden og danner bindinger. Retrogradering er med til at gøre gammelt brød hårdt, men andre faktorer kan også have betydning – herunder vandindholdet i brødet.


Figur 19. Stivelseskorn. De blå cirkler på figuren viser de lag, hvor kæderne fra amylopektin er tæt pakkede.
Amylaser og deres effekt
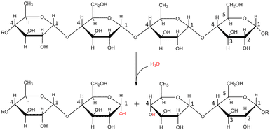
Amylaser er enzymer, der hydrolyserer glykosidbindinger i polysakkarider som f.eks. stivelse (Fig. 20). Amylaser er hydrolaser. De findes overalt i naturen bl.a. i spyt, og vil ligesom alle enzymer have forskellige egenskaber som f.eks. pH- og temperaturoptimum alt efter, hvor de kommer fra. I forbindelse med brødproduktion er α- og β-amylase de to mest anvendte amylaser.
α- og β-amylase
α- og β-amylase nedbryder begge stivelse til mindre molekyler og har således samme substrat, men de to enzymer virker ikke ens. α-amylase er en endoamylase og hydrolyserer α-(1,4)-glykosidbindinger inde i stivelsesmolekylet, mens β-amylase er en exoamylase, der hydrolyserer α-(1,4)-glykosidbindinger fra den ikke-reducerende ende af stivelsemolekylet. Det betyder, at α-amylase mere eller mindre tilfældigt klipper de lange stivelsesmolekyler i mindre stykker af varierende længde, hvorimod β-amylase frigør to sammenhængende glukosemolekyler (maltose) ad gangen. Forskellen mellem de to amylaser er illustreret vha. nedbrydelsen af amylopektin i Figur 21.
De to enzymer har samme substrat, men det er deres tredimensionelle struktur, der afgør, hvor og hvordan de bindes til stivelsesmolekylerne og dermed hvilke bindinger, de kan hydrolysere. Se Figur 22 og Figur 23.

Figur 22. Den tredimensionelle struktur af α-amylase. Det aktive center, hvor α-amylasen hydrolyserer α-(1,4)-glykosidbindingen, er markeret med blåt. De gule pile indikerer, at stivelsesmolekylet fortsætter.

Figur 20. I en hydrolyse reaktion spaltes en binding, ofte ved forbrug af vand (eller andre små molekyler).
Her vises hydrolyse af en α-(1,4)-glykosidbinding i amylose, der spalter polysakkariden til små mindre kæder.

Figur 21. Nedbrydning af amylopektin vha. α- og β-amylase. α-amylase er en endoamylase, og kan hydrolysere glykosidbindinger indeni sukkerkæden.
β-amylase er en endoamylase, der kløver glykosidbindinger ved de reducerende ender af amylose. Dette frigiver 2 glukose-enheder i form af maltose.
Effekten af amylaser
I dejen kan α- og β-amylase kun hydrolysere de stivelseskorn, der er blevet ødelagt under formalingen af korn til mel. Dvs. mængden af tilgængeligt substrat er ret begrænset. Ikke desto mindre vil hydrolysen af de tilgængelige stivelsesmolekyler øge mængden af fermenterbare sukkere, dvs. maltose, som gærcellerne efter spaltning med enzymet maltase, kan omdanne til bl.a. carbondioxid ved fermentering, hvorved dejen hæver. Når brødet bages, gelatiniserer stivelseskornene og bliver mere følsomme over for amylaserne. β-amylase inaktiveres typisk omkring de temperaturer, hvor stivelseskornene gelatiniserer. Af denne grund er det primært α-amylase, der nedbryder stivelsen og påvirker brødets endelige struktur. Da gæren i brødet dør ved høje temperaturer, fermenteres der ikke længere sukker, som derfor i stedet bl.a. forsøder brødet.
Hvis enkelte af de amylaser, der bruges, stammer fra bakterier, vil enzymerne ikke nødvendigvis denatureres pga. høje temperaturer. Dvs. de vil stadig være virksomme, når brødet er bagt. Disse bakterielle amylaser har en positiv effekt på brødet. De hæmmer dannelsen af bindinger, der gør brødet hårdt, hvorfor brødet er friskt i længere tid, men den præcise mekanisme er endnu ikke helt forstået. Et eksempel er amylase fra den termofile bakterie Bacillus stearothermophilus, der bruges til at opnå blødhed i brødet og samtidig er i stand til at bevare elasticiteten. Denne amylase er egentlig en exoamylase, men har også en smule endoamylaseaktivitet.

Figur 23. Den tredimensionelle struktur af β-amylase. I firkanten ses et tværsnit af den lomme, hvor stivelsesmolekylet bindes. Det ses, at β-amylasen er en exoamylase. Det aktive center, hvor β-amylasen hydrolyserer α-(1,4)-glykosidbindingen er markeret med blåt. Den gule pil indikerer, at stivelsesmolekylet fortsætter. Ved hydrolyse frigøres de to gule sammenhængende glukosemolekyler.