Gluten og proteaser
Proteindelen i mel er lille sammenlignet med mængden af stivelse. Den udgør 10-14 %, hvor mængden af stivelse udgør 80-85 %. Ikke desto mindre er det proteindelen, der er ansvarlig for dannelsen af et unikt viskøst og elastisk proteinnetværk kaldt gluten. Dette proteinnetværk er specielt for hvedemel. Gluten dannes, når melet indeholdende de to proteintyper gliadin og glutenin blandes med vand, og dejen æltes.
Gliadiner og gluteniner
Gliadiner er globulære og symmetriske proteiner. Gluteniner er store og langstrakte komplekser af flere forskellige proteiner, og har derfor et langt større overfladeareal (Fig. 24). Både gliadiner og gluteniner indeholder svovlbroer(disulfidbindinger). I gliadiner er de primært intramolekylære, mens gluteniner indeholder både intra- og intermolekylære svovlbroer.
Begge proteintyper er uopløselige i vand og har et højt indhold af aminosyrerne glutamin og prolin. I modsætning til mange andre proteiner er der kun en meget lille del af de to glutenproteiners sekundære struktur, der har α-helixkonformation. Dette skyldes sandsynligvis den høje koncentration af prolin og denne aminosyres særlige konfiguration.

Figur 24. Forskellige typer af proteiner fundet i hvedemel. Gliadiner (øverst til venstre), gluteniner (øverst til højre) og gluten (nederst).
Gluten er både viskøs og elastisk. Det kan strækkes uden at gå i stykker, og det har en tendens til at vende tilbage til sin oprindelige form, efter at man har strakt det. En dej uden gluteniner ville være meget flydende, mens en dej uden gliadiner ville være sej og gummiagtig. Det er netop kombinationen af de to, der giver dejen dens unikke konsistens.
Dannelse af glutennetværket
Idet mel og væske blandes, absorberer gliadin og glutenin en masse vand. Når dejen efterfølgende bearbejdes ved æltning vil de store og langstrakte gluteninproteiner omslutte de mindre og globulære gliadinproteiner, og der vil efterhånden dannes et tredimensionelt glutennetværk bestående af langstrakte proteinplader, der strækker sig gennem hele dejen. Det dannede glutennetværk stabiliseres af både intra- og intermolekylære bindinger som f.eks. hydrogenbindinger, svovlbroer og dityrosinbindinger (binding mellem to tyrosin-aminosyrer). Endvidere har det vist sig, at de polære lipider i dejen også har betydning for stabiliteten via vekselvirkningen med glutennetværket.
Glutennetværket stabiliserer små gaslommer, der indeholder det carbondioxid, som gærcellerne producerer ved fermentering af bl.a. maltose. Det er årsagen til, at brødet hæver. Ved bagning størkner glutennetværket pga. de høje temperaturer og bliver stift. Gaslommerne er nu fyldte med luft og gelatiniserede (forklistrede) stivelseskorn.
Proteaser og deres effekt
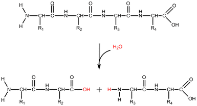
Enzymer, der hydrolyserer peptidbindinger i proteiner (Fig. 25), og derved nedbryder dem, kaldes proteolytiske enzymer eller proteaser. De tilhører gruppen af hydrolaser.
Analogt til amylaser kan man dele proteaser op i endopeptidaser og exopeptidaser. Endopeptidaser, som f.eks. fordøjelsesenzymerne pepsin, trypsin og chymotrypsin, hydrolyserer peptidbindinger inde i proteinet (Fig. 26). Endopeptidaserne genkender bestemte aminosyre-sidegrupper og hydrolyserer peptidbindingen ved siden af disse. Exopeptidaser hydrolyserer peptidbindinger mellem terminale aminosyrer og selve proteinet. Det kan enten være fra den ene ende, hvor der er en fri aminogruppe eller den anden, hvor der er en fri carboxylsyregruppe. Disse exopeptidaser kaldes hhv. amino-peptidaser og carboxy-peptidaser (Fig. 26).
De fleste aminopeptidaser og visse carboxypeptidaser har metalioner som co-faktorer. Disse sidder permanent bundet til enzymerne og kaldes derfor prostetiske grupper. I Figur 27 og Figur 28 ses tværsnit af en aminopeptidase og en carboxypeptidase. I begge figurer vises tværsnittet af hele enzymet. Der er fokus på den lomme, hvor proteinet bindes, og peptidbindingen hydrolyseres.

Figur 25. Proteiner holdes sammen af peptidbindinger. Disse kan også spaltes via hydrolyse, hvilket producerer to mindre peptider.

Figur 26. Spaltning af peptider katalyseres af peptidaser. Amino-peptidaser fraspalter aminosyrer fra enden med en amino-gruppe, carboxy-peptidaser fraspalter fra enden med en carboxylsyre gruppe, og endo-peptidaser spalter peptider internt.

Figur 27. Tværsnit af en aminopeptidase. Tværsnit af hele enzymet. Den lyserøde pil viser, hvor metalionerne sidder. I dette tilfælde er der to metalioner, begge coboltioner. Den gule pindestruktur er en peptidanalog. I firkanten nederst til venstre ses enzymets tredimensionelle struktur. Den gule pil viser lommen, og hvor det protein, der hydrolyseres, sidder.

Figur 28. Tværsnit af en carboxypeptidase. Tværsnit af hele enzymet. Den lilla pil viser, hvor metalionen sidder. I dette tilfælde er der en metalion, en zinkion. Den gule pindestruktur er en peptidanalog. I firkanten nederst til venstre ses enzymets tredimensionelle struktur. Den gule pil viser lommen, og hvor det protein, der hydrolyseres, sidder.
I brødproduktion anvender man både endopeptidaser og exopeptidaser. Dette skyldes, at endopeptidasers spaltning af peptidbindinger kan resultere i dannelsen af nogle bestemte peptider, der giver brødet en bitter smag. Ved også at tilsætte exopeptidaser kan man få nedbrudt disse uønskede peptider. Desuden afhænger viskositeten af dej bl.a. af størrelsen og formen på de proteiner, der er til stede. Jo større proteiner, jo mere viskøs (tyktflydende) dej. Exoproteaser har ikke særlig stor effekt på størrelsen af proteinet og derfor heller ikke på viskositeten, hvorimod endoproteaser er i stand til at nedsætte viskositeten drastisk ved f.eks. at halvere proteinet (klippe det over på midten). Proteaserne inaktiveres (denatureres), når brødet bages.
Proteaser kan bruges til at nedbryde gluten, hvilket vil gøre dejen blødere, mere smidig og elastisk. Det betyder, at dejen er nemmere at blande og har et bedre flow. I industrien, hvor man benytter maskiner og brødforme ved fremstilling af brød, er det fordelagtigt, at dejen nemt blandes og fordeles i forme. Ved at gøre dejen mere elastisk øger protease glutennetværkets evne til at tilbageholde carbondioxid og giver en bedre krumme.
Når det kommer til smag og farve af brødet, spiller både proteaser og amylaser en vigtig rolle. Dette skyldes, at dannelsen af både frie aminogrupper og sukkere medvirker til at forbedre smagen af brødet og skorpens farve via Maillard reaktioner.
Andre enzymer, der påvirker glutennetværket
Som nævnt sørger glutennetværket for at stabilisere de voksende gaslommer, der er dannet ved fermentering. Oxidoreduktaser som f.eks. peroxidase eller glukoseoxidase kan bruges til at styrke glutennetværket ved bl.a. at fremme dannelsen af svovlbroer i gluten og dermed øge brødvolumenet.
Enzymet transglutaminase, der katalyserer dannelsen af kovalente krydsbindinger mellem proteinerne (ikke svovlbroer), kan også styrke glutennetværket samt øge dejens evne til at binde vand og dermed påvirke krummen.