Enzymatisk modifikation af lipider
I forhold til mængden af kulhydrater og proteiner udgør lipiderne i mel kun en meget lille del (1-2 %). Omkring halvdelen af lipiderne er ikke-polære, mens den anden halvdel er polære lipider (Fig. 36). De ikke-polære lipider kan bl.a. være tri-, di- eller monoglycerider samt frie fedtsyrer. De polære lipider udgøres af fosfolipider og glykolipider.
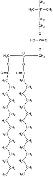
I Figur 37-39 nedenfor ses et triglycerid, fosfatidylcholin (et fosfolipid) og digalactosyl diglycerid (et glykolipid).

Figur 36. Lipidsammensætning i mel.

Figur 37. Triglycerider består af tre fedtsyrer, esterbundet til et molekyle glycerol.

Figur 38. Fosfatidylcholin er et fosfolipid. Fosfolipider består af to fedtsyrer esterbundet til molekyle glycerol, hvorpå et molekyle fosfat er bundet. På fosfatidylcholin er fosfat-gruppen yderligere bundet til et molekyle cholin.

Figur 39. Digalactosyl diglycerid er et eksempel på et glykolipid. Glykolipider har, foruden fedtsyrer, sukker-enheder bundet til glycerol.
Lipider i dej vekselvirker med både stivelsen og glutennetværket. Dannelsen af stivelse-lipid-komplekser har betydning for både gelatinisering og retrogradering af stivelsesmolekylerne. F. eks. kan glykolipider bindes til overfladen af stivelseskornene og i en vis grad bremse gelatinisering. Amylose-lipid-komplekser kan sterisk hindre retrogradering. Lipidernes vekselvirkninger med glutennetværket er derfor med til at stabilisere det.
Enzymatisk modifikation af lipider
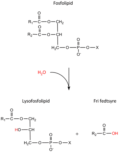
I forbindelse med brødbagning er enzymatisk modifikation af lipider vha. lipaser endnu ikke lige så udbredt som modifikation af stivelse og gluten, men brugen af lipidmodificerende enzymer er stigende. For nyligt har man opdaget fordelen ved at anvende en ny slags lipaser, der kan modificere både triglycerider, fosfolipider og glykolipider. Disse lipaser øger brødvolumenet og giver en fin og ensartet krummestruktur, samtidig med at de styrker dejen. Disse effekter menes at være forårsaget af omdannelsen af digalactosyl diglycerider (glykolipider) til digalactosylmonoglycerider (Fig. 40), fosfolipider til lysofosfolipider (Fig. 41) og triglycerider til di- og monoglycerider (Fig. 42). Dvs. alle reaktioner, hvor der sker en fraspaltning af en fedtsyre. Se figurerne nedenfor.

Figur 40. Hydrolyse af digalactosyl diglycerid (DGDG) til digalatosyl monoglycerid (DGMG) og en fri fedtsyre.

Figur 41. Hydrolyse af et fosfolipid til et lysofosfolipid og en fri fedtsyre. X står er en variabel, polær gruppe, f.eks. cholin som i figur 3.

Figur 42. Hydrolyse af triglycerid til monoglycerid og to frie fedtsyrer.
Størst effekt får man ved en lipase, der modificerer de polære lipider – fosfolipiderne og glykolipiderne. De polære lipider fremmer gennem vekselsvirkning med glutennetværket dannelsen af små ensartedeuniforme gaslommer, der er meget stabile og fleksible. Brødets endelige volumen og krumme afhænger i høj grad af disse gaslommers stabilitet og struktur. Ved modifikation af de polære lipider kan man øge stabiliteten og ensartetheden af gaslommerne og dermed opnå et mere homogent glutennetværk, hvilket stabiliserer dejen og forbedrer kvaliteten af det færdige brød ved at give en ensartet krumme.